作者:李斯蒂文
资料来源:IPFs部队地区
老子说:“人跟着地,地跟天,天跟道,道跟自然。”在区块链的实践中,由于代码体系是法律体系建立起来的,所以遵循数学上我们信任的原则。在一个不受个人控制的网络中,遵循自然规律尤为重要。我主张filecoin的设计应该简单自然。这也是事实。
自然常数e是一个神奇的数字,这在数学中是很自然的。本文讨论了filecoin共识机制的演化与自然常数E的关系。
摘要:
1。自然常数e
2。高初始预期一致空挡率:1/E
3期望一致性的实现是一个非分段发现的过程。
4。预计翻车台数量增加(至5个),并考虑安全性和效率
5。让每个词段参与投票:优雅密码抽奖+e
[预警:数学、概率和分布]
数学常数e
E被称为自然常数,这在数学家眼中是非常自然的。然而,对于普通人来说,由于没有直观的描述,很难理解e。本文通过E在filecoin中的应用,希望能从中找到一些要点,帮助您1)了解filecoin的一些设计;2)通过filecoin对E有一个直观的描述和印象。
有两个常见的复杂而有趣的数学常数,一个是π,另一个是e。我们对π非常熟悉,因为它有一个非常生动的名字叫PI,即任何比特币圆的周长与直径之比。很直观,很容易理解。如果你小学不学,初中就要学。
事实上,e是一个与π同样重要的数学常数,它在数学中的应用不亚于π。例如,在我们今天讨论的filecoin区块链中,e在很多地方都有使用,而π则没有。基本上是不用的。
π=3.1415926535897。。。
e=2.718281828459045。。。
π和E是超越数,也就是说,它们不是代数数(有理数方程的解),当然,它们也是无理数,无限非循环小数。
但事实上,e和π在数学上是密切相关的。甚至可以说e是π的另一种表示形式。为什么?看看**雅的数学公式——欧拉公式:
为什么优雅?这个简单的公式把数学中的五个元素(0,1,I,π,e)很简单地统一起来。正如物理学家想要统一力场一样,数学家也有妄想症来总结简洁的定律。
这个公式也表达了E和π之间简单而直接的关系。当然,它们之间有一些有趣的关系,例如:

然而,这些似乎使事情更加复杂,这无助于理解e本身。什么是e?在数学中,有人说e是自然对数的基。它的一个主要特点是e^x的导数仍然是e^x。同时,e可以用以下公式表示和计算:
在复利计算的期限内,可以通过一个更灵活的期限来表示复利,即复利可以达到复利的一个极限。也就是说,如果年利率是*,如果将一年无限细分为n个时段,每个时段的利率为1/n,最终有息收入为e倍,即2.7倍以上。
这还不够好。让我们看看映射到filecoin的共识机制。
filecoin期望一致性与自然常数的关系
让我们回顾一下filecoin白皮书中描述的预期共识。在go-filecoin的早期实现中,采用了一种简单的预期共识,即每个矿工根据自己的算力与总算力的比值来获得块权重的概率。由于所有矿工计算力之和等于总计算力,因此系统每轮总封锁概率的期望值为1。简而言之,这是平均每轮一个街区。但是,每个矿工都是独立计算的。因此,在每一轮中产生的块的数量可以是不同的。
所以在这个例子中,我们构建一个简单(有效)的模来进行推导。假设系统中矿工的数量为n,每一个矿工的算力比为1/n,则每轮每个矿工的阻塞概率为1/n。
这样一来,一轮空投的概率如下:

如果n足够大,则可以得到:
换言之,空车的概率超过三分之一,这太高了。
然后,块编号1的概率可以计算如下:
还是三分之一多一点。不到三分之一的剩余概率是多轮拦截。这一结论与当时开发网络的测试完全一致。
由此,我们可以找到一个对自然常数e的更生动的解释,即:在多人(大数)的独立投票选举中,每个人都有相同的获胜概率,当预期投票人数为1时,无法获得选举结果的概率是e的倒数,即1/E。
预期共识的实现是一个不断发现的过程
我们与filecoin研发团队模拟讨论了开发网络中的空块率过高的问题。显然,如此高比例的空挡子弹并不好。由于阻塞时间不是固定的,所以很难预测事务时间。
那么什么是简单的改变?那就是增加每轮的预期方块数。由于在一轮预期共识中可能存在多个块,因此在实现中使用tipset来增加预期块数非常简单。
在测试网络之前,filecoin实现引入了每轮预期块的概念,它被定义为e(每个epoch的预期块)。当前默认值:e=5
既然预期的区块数量已经增加,最简单的方法就是将每个矿工的区块概率提高5倍。然而,矿工的方块计算是通过掷骰子来完成的。换言之,它在256位空间中生成一个数字来比较自己的算力,从而确定它是否有权阻塞。存在数据越界的问题。在这个判断中,filecoin的实现经历了三个阶段
第一阶段:每个矿工根据自己的算力进行分配,并按较小的份额选出。如果他赢得选举,他将得到一票。相同的默认计算力分为25个部分(其余部分单独计算)。这种方法的优点是,每个选民的算力基本相同,选举公平。但是,由于每25个扇区都要单独计算,因此每个部分都需要I/O访问,这就消耗了大量的时间。filecoin团队的最初目标是把这个块和时空证据放在一起。但是,从安全性的角度来看,由于计算比较复杂,所以仍然被放弃。
第二阶段:直接极值简化,不考虑越界问题,直接乘以5进行比较计算。这是时空证明surflisedpost已被windowedpost取代的一种简化措施。但是,这样做有两个问题:1)算力超过20%的矿工肯定会遭殃;2)当矿工有足够的算力时,他们就能够赢得选举。第二个问题更严重。我们谨慎地提议,这是一个安全问题,应当加以改变。
第三阶段:采用密码抽奖的方法,学习algorand的算法。逐步提高。
让每个字节投票
Algorand的密码彩票是概率分布在选举中非常好的应用,对区块链POS网络非常有利。实现相对简单直接。具体算法如下:
这里没有详细的解释。有需要者可查询相关信息。简言之,在POS选举过程中,当你用自己可验证的随机数抽签时,你可以通过判断自己的份额和相应的二项分布来判断自己赢得了多少票。
二项式分布是将相同概率的n个独立时间分别计算后相加,整个分布正好切入整个概率空间。所以只要看看你在那个空间里的可验证的随机数(这部分更难解释,感兴趣的人会离线讨论)。
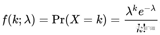
所以对于filecoin来说,投票权是你的权力。如果您可以按照前一阶段2中提到的方式对其进行细分,您可以考虑为每个字节投票。这样,参加投票的选民人数非常多。整个计算不需要二项分布,而可以用泊松分布来计算。泊松分布公式如下:

这里,λ是自己的股份与预期总票数的乘积。在filecoin中,它是
E*mpow/totpow;K是获得的投票权数。
看看上面的公式,是不是很神奇?自然常数e再次用于计算filecoin的选举。泊松分布是对filecoin的一种改进,它非常符合filecoin的特性,并且计算非常简单。
使用密码抽奖后,不能保证每轮都会有一个矿主把分块对好,这很正常,因为每个人都会自己掷骰子,而且分块权的计算是独立的。在这种情况下,每一轮赢得不同选票的概率有多大?简单的模拟显示下表:
这里空车的概率是e^-5。
换句话说,一个空的轮子预计会出现在不到200的高度。看起来还可以。每轮投票数为3、4、5、6、7票,分布越来越均匀。票数达到15票,约为万分之一点六。
如果你看到这里(如果你真的有耐心看这里),你可能会想知道E和概率之间是否有很大的关系。事实上,我可以告诉你,π有时也用于概率计算。因为这两个常数没有明显的联系。
filecoin中的自然常数不仅仅用于选举
自然常数E在选举中的使用似乎非常自然和优雅。
同时,filecoin还使用e来计算代币释放。这不是关于概率,而是关于衰减。filecoin没有定期将代币发行量减半,而是模拟了放射性衰变,即指数衰减。白皮书的目标是在六年内减半。一般来说,衰减公式可以写成:
上面的公式可以理解为:初始token为N0,系统需要通过一段时间的释放来保持T时间点系统中的token数量n(T)。
再看这里,自然常数E。当然,这里不必使用E。但是由于e被广泛使用,所以它很容易使用。所以现在基本上是统一使用了。
文章链接:https://www.btchangqing.cn/73075.html
更新时间:2022年10月12日
本站大部分内容均收集于网络,若内容若侵犯到您的权益,请联系我们,我们将第一时间处理。