作者:foresight Ventures
Uniswap V3版本已于5月5日正式登录以太坊主网,本文将介绍V3版本的功能,探讨做市的优缺点以及如何解决问题,**通过实际操作层面进行分析。
1、 Uniswap V3
的功能2.Uniswap V3
的优点3.LP做市商
面临的问题4.解决方案
5.实用水平分析
6.总结
Uniswap V3 功能 聚合流动性
在Uniswap V2中,LP注入资金相当于提供从0到正无穷大的流动性。然而,价格总是在一定范围内波动,剩余的大部分流动性很难被利用,造成资金利用的浪费。与Uniswap V2相比,V3相当于人为地将注入的资金控制在一定的区间内,为特定区间提供流动性,将资金中心化在交易频繁的区间内,获得更多的佣金收入。
V2收入=LP资金/V2资金池总资金× 佣金收入
V3收入=LP/V3资金领域的总资金× 佣金收入
假设V2和V3的手续费相同,可以看出,在资金相同的情况下,v3lp的收益将远高于v2lp。
理论上,V3可以自由选择量程的上下限。但是,由于流动性聚合功能,计算量比v2大大增加。因此,为了减少交易中的计算过程和交易者需要支付的GAS FEE,V3人为地将整个价格区间划分为不同的价格点。
以0.3%利率的基金池为例,价格点附近的最小价格变化单位为0.6%。例如,价格点2000USDT后,为2012USDT(2000USDT)×( 1+0.6%)=2012),不同费率的资金池对应不同的最小变动比例。如费率为0.05%的基金池,价格变动比例最小为0.1%,费率为1%的基金池,价格变动比例最小为2%。
多级费率
Uniswap V2的基金池是标准的0.3%交易费,而Uniswap V3提供了三种不同服务费率的基金池,分别为0.05%、0.3%和1%。也就是说,任何交易对都可以放入三种不同服务费率的基金池中。然而,由于交易对的波动性不同,有限合伙人面临的无常损失风险也不同,因此不同费用池的交易对象也不同。

从上图可以看出,资金池的0.05%主要用于稳定币之间的兑换,0.3%用于ETH/Dai等其他标准货币对,1%用于一些新货币或假币。由于价格波动较大,做市的LP需要较高的处理率来弥补做市带来的不稳定损失。
范围订单
Uniswap V3提供了一个新的功能:范围订单,以补充目前的市场价格表。这个功能有点像交易所限价单的升级。
您可以设置高于或低于市场价格的范围。你只需要抵押单一货币。当市场价格达到设定的价格区间时,您将继续交易另一种货币。当市场价格超过设定的价格区间时,所有交易都将被成功置换,您将获得该价格区间的佣金收入。它适用于底部阅读或航运。
预言机更新
与V2相比,V3可以在一次链式调用中计算出过去9天内所有新的twap,这意味着V3的预言机更新成本降低了50%左右。
Uniswap V3 优点 1. 提高资金利用率
与V2相比,V3能够在一定范围内提供流动性,这无疑将提高资本利用效率。在价格能够在设定的区间内保持不变的情况下,理论上,区间越小,杠杆率越高。官方数据显示,资金利用率很高可达4000倍,目前资金实际利用率约为4倍。

上图中紫色线为价格的20%,约为资金利用率的10倍;蓝线占价格区间的50%,约为资本利用率的4倍。
2. 优化投资组合
目前常用的套利模,无论是基差套利、资本利率套利还是跨汇套利,本质上都是长线波动。只有当市场大幅波动或单边波动时,才更容易获得更高的回报。V3的本质是短期波动,即失去了对价格波动的抵抗力,获得了资本使用效率。当市场相对稳定时,市场是短线波动,只有当价格在一定范围内波动时,利润才能**化。
LP 做市所面临问题 1. 无常损失问题
无常损失是在Uniswap上挖矿流动性时遇到的一种损失。这种损失是由于代币价格的偏离造成的。当价格回升时,就不会有这样的损失了。我们这里说的是损失,不是损失。当我们在Uniswap中存储一对代币时,如果一个代币的价格高于另一个代币的价格,那么你在价格上涨后取出,总价格低于这两个代币的价格。下半部分是损失。价格偏差越大,损失就越大。由于V3版本价格区间的设置,当价格区间超出价格区间时,所有资产都会转换成相对便宜的资产以增加损失(价格回归后,会转换回原来的资产)。
2. 区间设置问题
如果人们认为未来价格只会在相对固定的价格区间波动,那么从理性决策出发,每个LP都会将自己的流动性放在固定的价格区间,区间内流动性供给越多,获得的佣金收入就越少。

上图显示了0.3%利率基金池中USDC/ETH交易对LP的价格区间分布。可以看出,流动性最中心化在2018年至2998年的范围内,这表明如果在这个范围内提供流动性,单位收入将减少。
3. 重置成本问题(Gas 成本、冲击成本)
当市场价格偏离设定的价格区间或认为有必要调整时,注入资金的提取和再补充将面临GAS FEE、流动性注入对dex价格的滑移以及对冲CEX头寸的期货订单成本。
解决办法 如何对无常损失进行对冲
在LP做市中,知名的问题是手续费收入可能无法弥补价格波动带来的波动性损失。本文旨在提出不需过度分析的套期保值方法。
要对冲波动性损失,首先要了解波动性损失的损失率曲线。
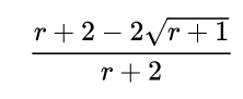
V2损耗计算公式:

V2损失率曲线:

V3损耗率曲线:

为了更好地与V2进行比较,V3数据采用了当前1000的汇率,下限为0,上限为2000,可见V3的曲线波动性较强。
通过计算或有损失的大小,我们可以分配相应的期权或合约进行对冲。考虑到或有损失是非线性的,期权收益曲线也是非线性的,期权套期保值方法可以较好地弥补或有损失,但需要承担部分特许权使用费的固定费用,增加了成本,同时锁定了成本;合约套期保值可能面临市场波动的影响,需要不断调整仓位。如果不小心,很容易造成合约头寸的大幅亏损,但好处是不需要支付提成等固定费用。
如何设置区间
尽可能在市场相对稳定时,根据流动性分布情况选择一定的区间。虽然窄区间可以获得比宽区间更高的资本利用率,但并不意味着窄区间可以获得更高的佣金收入。
一方面,范围狭窄必然导致频繁的复位区间,而每次复位区间都会带来不可忽视的燃气成本问题。或许一次调整的成本可以在整体收益面前抵消,但从概率角度看,幅度越窄,波动越大,重置频率越高。此外,一旦汇率在窄范围内偏离,收益递减效应就会增强,迫使LP不断调整,不仅会增加套期保值成本,还会增加重置成本。
另一方面,在单边市场中,窄幅波动会导致持有的资产向单边市场倾斜。例如,在ETH下跌的市场中,窄幅区间必然会使我们注入的资产迅速转为ETH,而区间的调整需要不断加大USDT的投入,更容易受到ETH价格波动带来的损失。
实操层面分析
在Uniswap V3中,由于其机制的改变,与V2相比,会带来不同的操作模式。
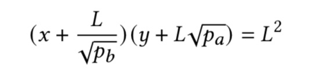
流动资金注入方式

由于我们可以选择只注入所选选区内的流动性,相当于将函数曲线左右移动,因此注入资金不仅是V2版本中放置两个等价资产的方式,而且是由上限决定的,所选选区的下限和当前汇率。

公式为:

LP token 换成 LP token NFT
V2版是注入流动性换取LP代币,V3版由于不同的选区、不同时点的汇率、注入金额等因素,不能再使用简单的ERC20代币形式来表示流动性注入,而LP token NFT表格只能用来代表Uniswap和LP之间的投资合同,可以理解为银行的大额存单。但是,代币LP代币可以连续计算基金池的比例,并以再投资的形式为LP创造超额利润,而LP代币NFT只能在收回资产时一并提出佣金收入,手工再投资。
总结
Uniswap V3提供了更高的自由度和选择空间。对于LP做市而言,V3不仅提高了资本利用率,而且加大了收益和波动损失的风险。无论是如何对冲震荡损失,还是根据流动性调整区间,都对LP提出了更高的要求,这无疑更有利于专业投资者和机构做市。
免责声明:所有前瞻性风险投资的文章不能作为投资建议或建议。投资有风险。请评估您的风险承受能力,谨慎做出投资决策。
联系邮箱:fv@foresightventures.com
文章标题:Uniswap V3做市策略
文章链接:https://www.btchangqing.cn/293270.html
更新时间:2021年07月01日
本站大部分内容均收集于网络,若内容若侵犯到您的权益,请联系我们,我们将第一时间处理。