Uniswap V3于今年5月正式推出,它承诺为流动性池(LP)提供商提供更低的交易成本和更高的资本效率。V3协议非常成功,第一个月就吸引了近20亿美元。
然而,自推出以来,流动性提供者的回报喜忧参半。目前平台各项指标显示,平台流动性太多,成本太少。因此,对于大多数交易对而言,LP的成本远远不能补偿由于代币价格波动引起的预期无常损失(IPL)。鉴于目前的市场情况,投资者可以出售看跌期权(如果有的话),以获得更高的预期收益。
为了证明这一点,本文首先在Uniswap V3上揭示了农业回报的主要驱动因素,并提出了一个定量框架来分析给定LP职位的吸引力。我们将此框架应用于USDC/wETH池,并以其为例。
与目前大多数方法不同的是,我们的框架考虑了LP的流动性分布,并模拟了相关的代币价格变化。这使我们能够更准确地估计人们可以预期收取的费用和预期的战略利润。
收入农业:回归的基本原理
在进一步研究定量内容之前,本文首先强调了Uniswapv3协议的功能特点和农业收益的驱动因素。
值得注意的是,任何LP策略都是短期波动性策略:你将两种代币放入流动性池,随着价格的变化,你逐渐卖出表现**的资产。

Uniswap V3的主要创新点如下:
流动性可以中心化在特定的价格区间[Pmin,Pmax]。这为LP提供了杠杆作用。然而,一旦价格超出该范围,您将停止赚取费用,并承担对表现不佳资产的全部风险敞口。
费用取决于给定价格范围内其他有效LP的数量。这些费用比Uniswap V2更难建模,因为您必须与其他流动性提供商竞争。

来源:Uniswap V3白皮书
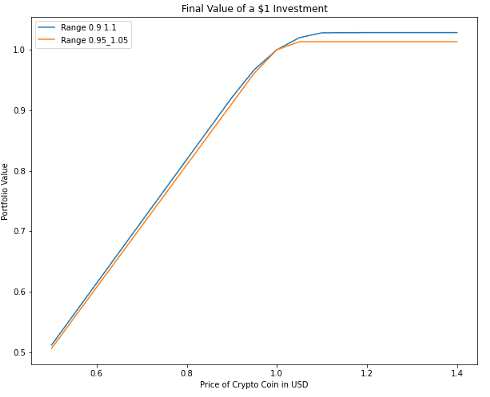
我们建立了由加密代币(称为t)和稳定代币(USDC)事务组成的池的预期易失性损失模。初始状态设置为:组合价值为1,市场价格为t/USDC=1。对于不同的USDC/t价格,我们的组合价值是多少(不包括费用)?
我们还比较了两种不同的流动性区间[0.95,1.05]和[0.9,1.1],以便读者更好地理解流动性区间对结果的影响。
如下图所示,损益图与卖空策略图非常相似。主要区别在于所选流动性范围内的Convex性。较窄的流动性范围将帮助您收取更多费用(只要代币价格保持在该范围内)。在这种情况下,加密代币的上行风险较小,下行风险较大。

主要风险是代币贬值。在牛市中,你可以从短期波动头寸和资金池费用中获利。然而,无论成本如何,美元的回报都是不对称的。当当代货币对美元升值时,会有一点利润(大约50%的时间),但当它贬值时,可能会有很大的损失。这导致平均统计损失。只有当电荷大于预期的IPL时,LP策略才是可行的。
正确设定流动性范围是任何LP策略的关键部分。您将收取的费用也取决于路线。为了准确模拟我们的回报,我们将使用蒙特卡罗模拟来模拟代币价格。
LP收益模的定量框架
给定一个代币LP头寸及其特征(范围、资金池流动性分布和成本预测),可以计算LP头寸的隐含波动率指数。
隐含波动率指数的计算是通过蒙特卡罗模拟交易价格。基金池中隐含的代币波动率是指在LP头寸中产生0预期回报的资产波动率。

值得注意的是,我们可以逆转这一过程,即我们可以为交易对设置隐含资产波动率假设,并取消隐含成本。
由于流动性在基金池中的分布会随时间而变化,因此在短时间内进行蒙特卡罗模拟具有重要意义。我们将为这个建模练习选择一个24小时的窗口。
适用于USDC/湿池
Usdc/wETH是Uniswap V3中知名的资金池之一,TVL超过2亿美元。我们使用这个图来提取流动性分布。大部分流动性中心化在威思1800-2400的价格区间。随着价格从当前水平回落,流动性开始放缓。随着价格进一步下跌,我们预计将收取更多的费用。因为我们会有更高的份额。有了韦思的赏识,我们将少收费。

6月26日USDC/湿流动性分配(来源:Uniswap)
我们还需要为池设置每日成本假设。从下图可以看出,近期日均交易额远低于2亿美元。乐观地说,假设每天的营业额为2亿美元,这将转化为整个流动性池的600000(0.3%的交易费)的费用。假设TVL为2.35亿美元,这意味着年利率为93%。

USDC/wETH流动性池历史交易量(来源:Uniswap)
利用上述框架和费用假设,我们将计算三个不同流动性区间的隐含波动率:
与当前价格相比± 1.2%范围(写作时为1760点)
与当前价格相比± 4.8%
与当前价格相比± 9.6%
我们的框架非常灵活,可以适应任何流动性范围。这三个区间的选择表明,隐含波动率不会随着流动性区间的变化而发生显著变化。
留下来± 1.2%以内的波动率为99%的隐含波动率
留下来± 隐含波动率在4.8%以内为100.5%
留下来± 107%的隐含波动率在9.6%的范围内
即使使用我们对费用的乐观假设,这三个集合头寸的隐含波动率也低于ETH看跌期权122%的水平(来源:deribit交易所)。实际上,成本预计会低得多(今天每天大约40-45万美元!),隐含波动率也要低得多。有人可能会说隐含波动率曲线是倾斜的。因此,更大的流动性范围应对应更高的隐含波动率,以降低LP投资的吸引力。供参考,1650日看跌期权
德里比特交易所的价格隐含波动率为152%。
根据120%的隐含波动率和600000的每日费用,我们可以预计三个池的每日损失如下:
± 1.2%范围:-1.1%如果费用太低,狭窄的流动性范围将损害你的利益,如杠杆
± 4.8%范围:-0.83%
± 9.6%范围:-0.5%
现在,假设隐含波动率为120%,让我们把这个问题颠倒过来,然后计算每天的收支平衡成本。± 9.6%的范围池需要80万日交易量(124%的年利率)才能获得预期的正收益,这是当前交易量的两倍。换句话说,我们需要将提供的流动性减半。
可以看出,USDC/wet的资本金过多,交易量不足以弥补ETH隐含的波动性。但Uniswap上的所有货币对都是一样的吗?
筛选有吸引力的脂多糖
快速筛选有吸引力的资金池的**方法是计算代币对的预期成本与已实现波动率之间的比率。图表再次成为提取基金池所有数据的方便工具。一个好的经验法则是,支出apy必须至少是我们提供流动性的货币对的隐含波动率的0.9倍。如果很大一部分TVL不能以当前市场价格提供流动性,情况可能会有所不同。在我们的USDC/wETH示例中,大部分流动性中心化在当前市场价格上,因此pool apy低估了我们可以赚取的费用。
下图根据不同池的apy/已实现波动率细分了Uniswap TVL。可以看出,约2/3的TVL锁定在预期apy低于隐含波动率的基金池中。只有三分之一的锁定基金预期收益为正。

Uniswap V3 TVL根据apy/波动率进行细分
根据费用/交易量比率排名前20的**池如下所示。这些资金池相当小,最多只有几百万美元的资产。他们的回报将受到更高的GAS FEE用和新进入者的风险的影响。此外,其中许多涉及信誉不佳的小货币,如Fei、FraX

基于apy/vol的**吸引力的收入农业池
您还会注意到列表中的USDC/湿水池(以黄色突出显示)(https://info.Uniswap.org/#/pools/0x7bea39867e4169dbe237d55c8242a8f2fcdcc387 )这不是我们之前分析的资金池,而是交易费为1%的资金池。它的TVL要小得多(270万美元)。这证明,标准的Uniswap成本并不总是收入农业的**选择。
结论
Uniswap已经成为自己成功的牺牲品。作为;Luke Posey和glassnode;在最近的一篇文章中,有人指出(https://insights.glassnode.com/activity-on-DeFi-stalls/ )DeFi平台上锁定的TVL性能优于以太坊和其他加密代币。

来源:glassnode
这导致流动性提供者对费用的竞争更加激烈。此外,交易所的激增和新的Uniswap收费水平对收益农业策略的盈利能力产生了负面影响。
文章链接:https://www.btchangqing.cn/292688.html
更新时间:2021年06月30日
本站大部分内容均收集于网络,若内容若侵犯到您的权益,请联系我们,我们将第一时间处理。