我以为univ3开启了AMM万能交易所的高峰,没想到曲线V2是一个难度更大的“甘仁博奇峰”。虽然我们对技术变革感到惊喜,但我们更惊讶的是,这些DEX/AMM项目正朝着“统一”的演进模式发展。正如我们今天要讲的,curve V2实际上是一种与Uniswap直接竞争的通用交易模式,但不久前,Univ3也正式携新的数学模介入并长期蚕食curve V1主导的稳定币交易领域。本文试图用反解构的方法给出V2曲线的基本数学原理。
基本模
简而言之,curvev2采用了与Uniswapv3非常相似的基本理念——围绕“平衡点”的流动性聚集。这两种方法都不依赖外部预测来达到均衡点,而是依赖于传统AMM系统内部的交易博弈,直到系统达到均衡。在univ3中被称为“专业做市商LP跟随市场变化调整区间”,在曲线V3中被称为“内部先知”。作为AMM的两个顶级项目,我们可以看到他们对任何外部风险都非常敬畏。这两种模,特别是curvev2,虽然不依赖外部因素,但对波动性损失、流动性中心化、提高资本效率、低滑动点、动态成本等一系列问题提供了很好的解决方案。这当然得益于它的“异常”数学模。

(图1)
数学模的核心是建立一条新的曲线。直观地说,两条虚线是常数积曲线,蓝线是著名的曲线V1稳定币兑换曲线,由曲线V2构造的黄线有两个基本特征–
(1) 它介于常积曲线和V1曲线之间;
(2) 曲线的尾部特征具有明显的常积曲线拟合。
那么它能解决什么问题呢
(a) 它继承了V1曲线在“平衡点”附近超低滑移点和聚集迁移率的优点;
(b) 通过对定积曲线与曲线V1曲线的拟合,以及对曲线中段和尾部区域的定积曲线的拟合,获得了定积曲线快速响应流动性变化的优势,避免了池内流动性的枯竭,灵活应对市场的快速变化。
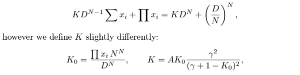
让我们直接看这个表达式

(图2)
乍一看,这很晦涩。以下是Kurt Barry在Twitter上分享的照片:

(图3)
有点突然意识到。是的,curvev2的“异常”曲线实际上是由曲线v1的表达式导出的。

(图4:curvev1表达式)
当K0接近1时,即曲线接近“平衡点”范围时(见图1),整个曲线V2表达式将退化为曲线V1表达式,使交换曲线具有曲线V1的优良特性。
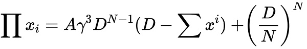
公式中最复杂的变量是gamma,它由图1中的两条常数积曲线导出。上面的常数积曲线和曲线V1表达式共同构成V2曲线的“平衡点”区域,而下面的常数积曲线是上面的常数积曲线的参数化简化,即上常数积曲线
上常数积曲线:

下常数积曲线:

Gamma是一个小的正小数,它将比上面的曲线更缩进到曲线形状的原点。如前所述,curvev2需要引入这样一条gamma曲线,使V2曲线摆脱V1曲线在中段和尾部的缺点(流动性枯竭和对汇率变化的快速反应),即使曲线在后半段具有更大的曲率。在这一基本原则的指导下,我们需要理解反向表达的构成–
当坐标连续变化到横坐标和纵坐标的距离时,越接近无穷大,V2曲线形状越低,乘积曲线拟合越恒定。也就是说,K0接近gamma,而curvev2表达减少:

换位:

很明显,这将是一条新的曲线,倾向于较低的常数积曲线。
在这里,我们暂时只能从混合曲线的基本构造原理来解释曲线V2表达式的原因。也就是说,我们用极限的思想分别逼近“平衡点”的范围和水平、垂直的远端,并将表达式分别化为曲线v1和常数积曲线,从而实现曲线V2融合Uniswap和曲线v1的目的,这种复杂的混合曲线能够支持普换,具有较好的中心化流动性和滑动点优势,同时保留了Uniswap在流动性保护和应对市场汇率突变方面的优势。
内部预言机
事实上,curve V2还有一个非常重要的创新点——内部预言机重放机制。这一机制非常有利于实施更好的中心化流动性,缓解波动性损失。
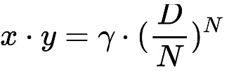
曲线V2引入了一个价格,例如,池中有USDT和B,如果余额为B=[1000500],汇率为1 B=2 USDT,则价格为p=[1,2]。最后,scaledbalance是x=[10001000]。

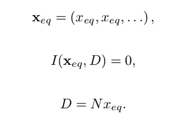
结合图1,在平衡点,scaledbalance序列中的元素相等(常数积性质)–

随着市场汇率的变化、汇率的发生以及LP做市行为的影响,系统协调点将逐渐偏离原来的“均衡点”。如果不对曲线形状进行修正,不仅会导致流动性聚集性减弱,还会导致非永久性损失。Curvev2提出市场价格更新机制[1]–
i) 指数移动平均(EMA)价格
(二)利润计量
iii)重新定价算法(取决于i和ii)
一般来说,系统会通过经典的内部预言机机制EMA,不断捕捉系统中汇率的运动序列,然后在每次交易和做市后,根据预言机的价格不断更新一个名为profit的变量XCP。

这个变量可以理解为每一个价格从原始均衡点的偏移范围。可以直观地理解,如果汇率变化不大,系统公式仍将以原均衡点为基础。如果汇率发生了很大的变化,曲线上的坐标点发生了很大的偏差,系统就必须重新构建这个公式,并用一个新的“平衡点”来代替它,以减少流动性的损失和重新聚集的无常性。变量XCP用于量化适当的公式和平衡点。

如上所述,当XCP突破阈值时,系统将根据此时更新的预言机价格更新价格,然后更新新的d值以获得新的表达式。
这样,原本固定的曲线V1曲线将随着汇率在汇率场上的大偏差不断改变均衡点,使其始终在当前汇率附近拥有最大的流动性,及时打击套利行为,减缓无常损失。本文对此机制进行了非常详细的参数定义,这也是实现的复杂性。
总结
像往常一样,迈克尔·埃戈罗夫不愿多说,所以曲线V2非常模糊。本文介绍了V2的两种主要创新机制:新曲线和重放。这种新的曲线不仅静态复杂,而且具有动态特性。可根据EMA和XCP智能响应系统进行抵销,最大限度地提高当前汇率范围内的资金池流动性,大大提高动态资本效率,超过uni v3。我们最终会发现curvev2可以与univ3结合。
文章标题:曲线V2逆向解构的深入研究
文章链接:https://www.btchangqing.cn/284372.html
更新时间:2021年06月15日
本站大部分内容均收集于网络,若内容若侵犯到您的权益,请联系我们,我们将第一时间处理。