原题:Solana的生态汞
Solana生态项目逐渐增多,贷款、DEX和衍生品协议开始丰富。MERCurial也是Solana的生态项目之一。它提供稳定的资产交换服务,这听起来与当前以太坊生态系统中的曲线有些不同。然而,作为一个后来者,它有更多的机会学习以前的DeFi协议的一些优点。从它的设计可以看出,它在用户最关心的交易滑动点、LP收益、资产利用率等方面做了一些迭代优化。
MERCurial从AMM稳定币资金池出发,为Solana ecology提供USDC、USDT、wUSDC和wUSDT等稳定币兑换服务。随着对用户需求的把握和生态的发展,Solana还计划为更稳定的资产提供流动***。
那么,mERCurial的哪些迭代值得关注呢?让我们从总体框架开始。
了解mERCurial的框架
让我们看看mERCurial的框架
比特币(mERCurial的核心,来自mERCurial)
我们可以看到有几个核心:保险库、收益率、动态成本和Dao治理。
MERCurial有一个活跃的做市资金库。其资本池为稳定的资产交换提供自动做市。LP可以将其稳定的资产存入mERCurial的资本池,然后为稳定的资产交换提供流动性。同时,可以通过种地或挖矿等方式获得外部协议收入,如参与放贷、闪贷、收入聚合等。另外,LP的成本收益不是固定的,而是动态的,这也是一种独特的设计。
具体来说,有几个方面是理解mERCurial的关键
MERCurial减少滑动点的设计
我们知道,当前AMM换量较大,往往会带来较高的滑动点。即使是为了交换稳定的资产。
MERCurial不同于通常的AMM做市模式X*y=Z。其主要区别如下:

(mERCurial的做市滑点变化,来自mERCurial)
红线是传统AMM做市模式的滑点变化,蓝线是mERCurial做市模式的滑点变化。看起来滑动点很低。它是如何设计的?
主要有两个方面。一是在提供流动性代币对资产时,mERCurial不要求流动性代币对必须为1:1,因此可以灵活配置。其次,mERCurial利用扩大后的价格曲线,将流动性中心化在要求的范围内。如果用户的交易超出了交易利率范围,那么它将获得较少的流动性支持。
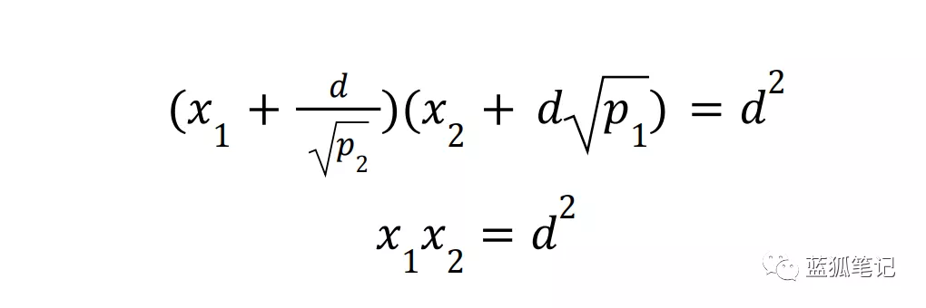
这可以用mERCurial提出的两个公式来解释
有两个代币对提供流动性,假设代币是X1和x2;汇率波动范围为P1和P2。在固定产品做市模式下,公式如下:
(来自mERCurial)
MERCurial在此基础上加入一些放大因子A,得到如下公式:
(来自mERCurial)
在这个公式中,如果系数a是无穷大的,那么所有的流动性都中心化在价格区间P1-P2;如果系数a无限接近于0,则该公式等价于常积做市模式。
通过上述设计,mERCurial试图减少用户交换的滑动点。我们在平衡器和渡渡鸟上也看到了类似的想法,但mERCurial主要专注于稳定资产的交换。
MERCurial增加LP收入的设计
在传统的AMM中,LP的费用收入一般是固定的。例如,曲线一般为0.04%;在Uniswap V2中,默认值为0.3%;在Uniswap V3中,可选费用分别为0.05%、0.3%和1%。
与这些相对固定成本的设计不同,mERCurial使用动态成本设计。在mERCurial中,所有代币对共享相同的动态费用机制。
采用动态成本机制的动机是为有限合伙人提供更合理的收益。当交换需求增加时,交换费用也会增加。特别是当市场波动较大时,通过提高收费,可以减少LP的波动损失,获得更高的收益。如果市场波动小,用户交换需求小,服务费也会下降,从而鼓励用户交易。
MERCurial将使用长时间窗口和短时间窗口的交易量来衡量其成本,并使用指数移动平均法(EMA)来计算其成本。其成本根据交易量比率进行更新。下图显示了基于市场波动变化的成本更新。
(来自mERCurial)
MERCurial在提高资产回报率方面的设计
除了减少滑动点和为LP发电提供动态成本效益的设计之外,mERCurial还有一个不同的设计,即它将动态分配和管理来自国库的资产,并将其分配给外部协议。分配算法由链上算法管理。除了资产配置之外,摩科瑞的资产管理还包括利息和收入收取、退出特定平台和清算收入。
(mERCurial的部分基金用于农业,来自mERCurial)
这些收入计划只有在获得Dao批准后才能部署到外部平台。Dao来确定可以部署到外部协议的每个存储库的比例。外部收入平台包括闪贷、贷款平台、稳定币贷款和杠杆或其他收入资本池。平台将根据收益、风险和流动性进行选择。通过收益计划,提高做市商的资产利用率。
Mer代币机制
MERCurial的信物是mer。mer代币有机会捕获以下值:
*汇兑手续费
Mer代币持有人有机会在mERCurail平台上获得交易费用。如何捕获交易成本、回购和销毁mer或分配mer将由Dao治理决定。
*土地收入委员会
Mer持有人有机会获得“农业”或“挖矿”收益的佣金。根据道治,我们可以购买和销毁mer代币,或者质押mer代币以获得相应的分配。
*合成资产抵押品
在生成合成资产或其他稳定资产时,以mer作为主要质押凭证。如果对合成资产的需求增加,就会有对更多mer代币的需求。这类似于synthetix的SNx代币的保证功能。
*治理价值
在mERCurial的Dao治理中,主要工具是mer-token。它可以参与道的治理。Dao治理可以决定协议的一些重要参数和决策。例如,确定交易的基本费用和佣金以及财政部的收入;费用是否用于销毁或分发;国库资产可以部署到哪些协议中;用于农业或矿业的资金比例;应推出何种新的综合资产;有限合伙人与出质人激励机制;应该向保险池注入多少资金来应对资产突围的风险。
这意味着mer本身具有治理价值。如果mERCurial有机会成长,其治理的重要性就会显现出来。
此外,mERCurial的流动性提供商可以通过存放资产获得LP代币。LP代币:
1) 可用于质押mer代币的流动性挖矿;
2) 它可以再投资于mERCurial财政部;
3) 可作为其他贷款平台的抵押品;
4) 它可以用来生成合成资产。
MERCurial的冷启动计划
为了实现冷启动,mERCurial试着从以下几个方面入手:
*在用户界面上,设计应尽可能符合CEX和EVM(以太坊用户)的用户体验,减少使用摩擦;
*鼓励凯伯社区的参与。凯伯有超过100000个代币用户。通过kyber社区,mERCurail试图完成初始用户的积累。
MERCurial的切入点
综上所述,摩科瑞本身更像是一份稳定的资产管理协议。通过建设稳定的金库,为交易员提供稳定的资产交换服务,为流动性提供者提供做市收入、土地或矿业等资产管理收入。从这个角度看,核心在于稳定资产的管理。
因此,摩科瑞的成功主要取决于其稳定资产管理的成功。稳定资产管理的成功主要取决于其稳定的资产交换、稳定的资产土地/流动性挖矿收入等。
从这个角度来看,mERCurial的第一个切入点是DEX协议的升级迭代,它的重点是为稳定的资产交易者提供较低的滑动点来吸引交易用户。交易用户规模越大,将吸引更多的流动性提供者。流动性提供者是mERCurial资本池的投资者。他们希望有更高的收入,这些收入可以来自流动性供应、农业或挖矿业。
此外,除了协议本身的机制设计之外,mERCurial还有另外一个切入点:它不是从以太坊生态系统出发,也不是从Boca、BSC或heco链出发,而是从Solana出发。这意味着,在初期,它将主要服务于Solana的生态用户,其早期的成功与Solana生态的整体发展密切相关。
文章标题:五分钟了解索拉纳生态稳定的资产交换协议:mercurial
文章链接:https://www.btchangqing.cn/263208.html
更新时间:2021年05月22日
本站大部分内容均收集于网络,若内容若侵犯到您的权益,请联系我们,我们将第一时间处理。