Uniswap V3一发布,就引起了广泛关注。与V2相比,其逻辑和代码更加复杂。V3的核心是通过期初区间提供流动性(中心化流动性),解决LP提供流动性时的资金利用问题。什么是资本利用率?如何推导V3中的区间流动性公式?如何理解流动性?如何计算互换成本?本文首先详细分析了V3技术白皮书。
首先,我们给出了一些关于Uniswap中V3的官方信息
V3官方介绍
https://Uniswap.org/blog/Uniswap-v3/
技术白皮书
https://Uniswap.org/whitepaper-v3.pdf
智能合约代码
https://github.com/Uniswap/Uniswap-v3-core
https://github.com/Uniswap/Uniswap-v3-1
建议仔细阅读技术白皮书,然后是智能合约代码,最后与官方介绍进行比较。在理解了技术白皮书之后,代码非常容易理解。在技术白皮书的第一章中,总结了Uniswap V3的技术特点。核心概念是quot;中心化流动性。
资本利用率
让我们看看Uniswap v2的资金使用率

上图为基金池X/Y变化曲线。资金池中的当前价格在C点,假设它在a点和B点之间波动,从C点滑到a点消耗最多,最大消耗为X_uuu实,也就是说,如果C点的当前价格在a点和B点之间波动,它最多只需要消耗x和Y,理论上只要提供x和Y就足够了。事实上,如上图所示,在价格点C,我们提供的价格大于x_ureal和Y_ux和Y的Real。显然,在这种情况下,X-X_uuuureal和Y-Y_uuuuuuureal基金是从不使用的,也被称为闲置资金。
在这种情况下,资本利用率为X×Real/X或Y×Real/Y,如果价格波动很小,则资本利用率很低。Uniswap V3正试图解决低资本利用率的问题。这个想法相对简单。所有资金只能加到一定的区间,只能加到价格可能波动的区间。如何在一定范围内增加流动性,提供互换功能是Uniswap v3关注的焦点。让我们从虚拟储备开始。
虚拟储备
Uniswap采用产品固定号(x*y=k)。所谓虚拟准备金,是指在产品固定曲线上只提供一定范围流动性的基金池

图中深绿色曲线为虚拟资金池满足的产品固定曲线。事实上,图中的资金需求曲线是橙色的。橙色曲线公式如下:

你可以想象虚拟资本曲线在X/Y轴上移动,因此A/b点与X/Y轴重合。也就是说,有了一定的资金量,就可以达到“虚拟”交易曲线的效果。
如何计算虚拟资金池在一定范围内提供的流动性,首先要从对流动性的深刻理解入手。
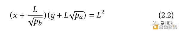
流动性-L
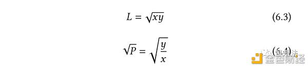
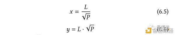
固定产品交易模可以满足基金池中的两个代币金额:X*y=K。如果K=L^2,X*y=L^2。我们称之为流动性。以下公式来自固定产品交易模

当l和sqrt(P)已知时,也可以导出资本要求X和y。

通过公式6.6,在流动性不变(不增加或减少流动性)的情况下,流动性可视为单位“价格波动”价格波动率的Y资本量的变化,因为它实际上是sqrt(P)的变化。

这是Uniswap V3核心公式(6.7),它使用相对值(资本和价格的相对值)来计算流动性。所谓流动性就是资金量每单位的“价格变动”。在一定交易量的情况下,如果流动性好,价格变化会很小,如果流动性不足,价格波动会很大。

特别是区间流动性与V2流动性不同。一个区间的流动性中心化在“区间”上。不同地区的流动性没有可比性。V2流动性和区间流动性的区别如下:

V2的流动性是“通用的”,在所有价格点的流动性都是相同的。V3的流动性由一系列不同时间区间的流动性组成。相对而言,流动性在当前价格附近相对较高。只有当流动性提供者LP提供可用于交易的流动性时,才能获得交易费用。为了获得更多的交易成本,提高资金的利用率,流动性提供者会在合理的价格波动范围内提供资金。也就是说,只有流动性提供者在一定的时间区间内才能获得掉期交易的手续费。为了计算每个区间的服务费,介绍了tick的概念和计算方法。
滴答声
在区间上提供流动性会带来许多复杂的情况:区间覆盖和区间覆盖重叠。由于不同区间的流动性不具有可比性,交易费用不能混入流动性,当流动性被删除时,交易费用将被收回。为了解决这个问题,Uniswapv3引入了tick的概念。交易成本实时结算并单独记录,不计入营运资金。虽然整个区间的流动性与区间的流动性没有可比性,但流动性在特定的价格点(一个价格区间)是可比的。Uniswap V3将整个价格范围(从负无穷大到正无穷大)逐个划分为tick(价格点)

后一价格点的价格是前一价格点的万分之一。

每个记号也有一个唯一的序列号。位置可以用两个记号表示。从逻辑上讲,交易费用可以一笔一笔地计算,交易是按照每笔交易的流动性比例进行分配的。让我们看看在一个刻度范围内交换的计算。
以记号交换
假设你有一个非常小的Y,你需要交换X,通过6.13的公式,我们可以计算Y的变化引起的价格变化。

利用6.15的公式,我们可以计算出交换中X的数量。

Uniswap V3为同一个交易对设置不同的交易费用:0.05%、0.3%和1%(可以添加其他费率)。如果x从y兑换,则在兑换前扣除手续费。
同一事务池中只支持一个速率。也就是说,在一个事务池中支持不同的价格范围,但它们都是相同的费率。如果需要为同一事务对添加具有不同事务费用的事务池,则必须创建新的事务池。
接下来,让我们来研究一下增加/减少流动性和交易成本的逻辑。
六
添加/删除流动性
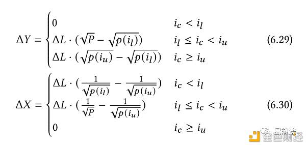
V3增删流动性是在当前价格情况下,在一定范围内增删流动性。所有流动性增加/减少使用以下公式:

需要注意的是,价格变化并不是指区间的大小,而是提供一定区间内的流动性。与当前价格相比,需要“对应资金变动”对应的价格变动。
它可以分为三种情况:你想要增加的流动性范围和当前价格之间的关系。
当前价格在流动性价格范围内(ILlt;=IClt;IU)

因为价格在区间内,如果价格滑向IL,你需要提供y基金。如果价格下滑到IU,则需要提供相应的x基金。因此,对于y的Delta uu,价格变化是sqrt(P)-sqrt(P(IL));对于X的Delta uu,价格变化是1/sqrt(P)-1/sqrt(P(IU))。
当前价格低于流动性价格区间

因为现在的价格比现在的价格要低得多,即使我们从现在的价格滑到国际单位,我们也只需要x资本,而不是y资本。因此,在这种情况下,Delta_Y=0。因为从IL到IU的滑动需要X在整个范围内的资金,对于Delta_2;for X,价格变化是1/sqrt(IL)-1/sqrt(P(IU))。
当前价格高于流动性价格区间
与第一个案例类似,分析将不再重复。
七
互换交易成本
Uniswap最复杂的逻辑是计算交易成本并进行分配。在增加和删除流动性之前,需要提取相应的交易成本。
总流动性
一个记号上可以有多个区间。在计算交易成本时,这些成本需要平均分摊到该刻度上多个区间的全部流动性中。在每个区间的边界处记录刻度上的增量(由该刻度限定的所有区间的流动性之和)。
有一个全局状态:liquidity,它存储与当前价格相对应的tick的流动性总和。当价格波动时,流动性会增加或减少(取决于价格波动的方向)。例如,当价格从左到右穿过一个区间时,流动性需要在穿过该区间的第一个刻度时增加,在穿过最后一个刻度时减少。中间的勾号没有流动性的增加或减少(delta)L=0)。在;

头寸交易成本率
一个区间上的交易成本率是通过从总成本率中减去区间外的成本率来计算的。将feegrowthoutside记录在区间的边缘刻度上。所谓的外部费用增长是指“其他”方向的总成本率。另一个方向是相对于通过当前记号的方向。当价格从左到右通过一个刻度时,feegrowthoutside是指刻度左侧所有区间的成本率。简而言之,它是与价格相反方向的所有区间的成本率。Feegrowthoutside用fo表示。因为fo是一个记号的两个方向的总成本率,所以两个方向的成本率之和必须等于FG(全局成本率)。因此,当通过一个记号时,记号上的fo需要翻转:

创建区间时,需要初始化区间边界上记号的fo

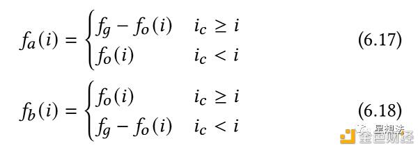
如果当前价格大于tick的价格,即使当前价格在设定的范围内,也不会分配以前的费用。因此,我们可以简单地假设所有费用都发生在tick的价格之下,即fo=FG。如果勾选价格大于当前价格,则该价格未通过勾选,因为假设之前发生的所有费用都在勾选价格之下,且没有费用在勾选价格之上,所以fo=0。在理解这些逻辑的基础上,在互换过程中,随着价格的波动,一个区间内高于最高点和低于最低点的成本率可以计算如下:

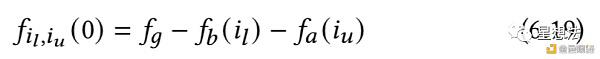
例如,如果ICgt;=I(当前价格高于最低刻度),则低于刻度的所有费率都是fo(定义)。在IClt;I的情况下,fo记录所有高于tick的费用率,因此需要翻转它,即FG-fo。当获得一个区间以外的所有成本时,计算该区间的成本率

根据获得的费率,将费率乘以区间的流动性,即可计算出区间收取的费用。
结论:
Uniswap V3的核心思想是流动性中心化。流动性提供者可以在一定范围内提供流动性,提高资金的利用率。在一定范围内获得的交易费用由该范围内的所有流动性提供者平均分摊。Uniswap V3设计了区间粒度刻度,并推导了流动性的添加/删除和成本计算过程。在此基础上,Uniswap V3还更新了price-预言机的实现。
文章链接:https://www.btchangqing.cn/228784.html
更新时间:2021年04月08日
本站大部分内容均收集于网络,若内容若侵犯到您的权益,请联系我们,我们将第一时间处理。