加密货币领域最令人惊叹的地方在于它的不断创新,而始于新年伊始的算法稳定币无疑是目前**野心和想象力的货币创新实验,试图摒弃传统的人为操纵,努力用算法本身实现货币的稳定。

可以说,开发算法稳定币的尝试是算法与人性的较量。算法追求**理性,以代码的形式呈现预设规则,其操作逻辑不受环境影响;人性往往在“动物精神”下表现出贪婪和恐惧,导致市场暴涨暴跌。
然而,这导致了算法稳定币的一个普遍悖论:在初始阶段,为了实现市场规模的扩张,算法稳定币必须利用人类的贪婪来发行更稳定币,但这是以价格不稳定为代价的;当稳定币市场规模足够大时,货币价值的稳定性得到提高,但人们却因为没有利润而纷纷离开市场,导致市场规模不断缩小失去稳定性。
从去年夏天的第一代算法稳定币ampl到第二代算法稳定币基础cash和ESD,我们可以看到算法稳定币在“市场规模价格稳定”的悖论中反复挣扎和撕裂。
第一代算法稳定币——单一货币体系(ampl)
虽然算法稳定币早在2018年就开始出现在市场上,但直到2020年夏天ampl的出现,算法稳定币才真正引起人们的关注。
从算法原理来看,ampl并不特殊。它的理论基础是经济学中最简单、最重要的供求模:ampl没有总量上限,当ampl价格超过1.06美元时,它会增加ampl的流通量,从而降低市场价格;当ampl价格低于0.96美元时,它将减少ampl的流通量来提高市场价格,从而降低ampl的价格,价格将保持在1美元左右。
有一个笑话说,如果教鹦鹉“供给”和“需求”两个词,鹦鹉也可以成为经济学家。这虽然是个笑话,但也说明了供求分析在经济学中的重要地位。在分析ampl时,很多人喜欢用供需分析中的两句话来解释:
“稳定币价格上升导致稳定币供应上升”
“稳定币供给增加导致稳定币价格下降”
在第一句话里,似乎没有问题,因为在现实中是一样的。当商品价格上涨时,会增加商家的积极性,生产更多的商品。在第二句中,没有问题。当市场上商品供应过多时,就会导致价格下跌。很多人喜欢解释ampl是如何工作的
调价→调价供应量增加→调价
这样,ampl的价格就稳定了。然而,从实际运行来看,ampl波动剧烈。原因是,上述推理看似逻辑上自相矛盾,实际上却充满了漏洞。关键是第一句中的“供给”和第二句中的“供给”是两个不同的概念。
在第一句中,“价格上涨,供给增加”,这里的“供给”是指“供给量”,即在其他条件不变的情况下,价格越高,生产者提供的商品越多。从供需图上看,供给量是一个点;在第二句话“供给上升,价格上升”,这里的“供给”应该是指任何给定的价格,在价格方面,生产者愿意提供更多的商品。从供需图上看,供给是一条曲线,供给的增加意味着曲线向右移动。因此,以上两句话的完整表述应该是:
稳定币价格上涨→稳定币供给增加(曲线上的点向上移动)
稳定币供给增加(曲线向右移动)→稳定币价格下降

在区分了“供给”和“供给”之后,我们可以发现,第一代稳定币的所谓“供给弹性”只是一个误解——ampl仍然是一种供给完全没有弹性的货币(一条竖曲线,引起较大的价格波动),而供应量的调整只依赖于价格参数。其实际操作逻辑如下:
安培需求上升(曲线右移)→价格上升→安培供给上升(在算法操作下曲线右移)→安培价格下降
振幅需求减少(曲线向左移动)→价格下降→振幅供给减少(在算法操作下曲线向右移动)→振幅价格上升

对于投机者来说,这是一个利用算法操纵市场的**机会:在早期,稳定币的流通量很低,通过注入资金(需求曲线向右移动,推动价格上涨)很容易以较低的成本抬高价格,导致稳定币的发行,这将导致被分配给持有人,当价格高到一定程度时,持有人会卖出额外的稳定币以获取暴利。
然而,当市场流通量较大到一定程度时,投机资金需要付出更多的代价来抬高价格。为此,投机资金开始抛售稳定币,退出项目,导致需求下降(需求曲线左移)。因此,ampl的价格开始下跌。当价格下跌时,在算法的驱动下,供给曲线开始右移,这进一步导致价格下跌,并带动更多资金流出市场,从而形成“死亡螺旋”,直到市场需求下降到稳定水平。

从下图中安普价格和供应的变化也可以看出上述现象:6月份,投机资金大量涌入,不断推高安普价格,使得安普继续增发股票;7月份,安普价格已拉高至近4元,因此继续拉高的成本太高,且价格上涨幅度较大投机资金开始撤出。投机者抛售他们的羊脂,导致羊脂价格突破1美元,随后羊脂价格上涨,反应开始迅速下降。
作为算法稳定币的鼻祖,ampl由于自身的设计缺陷,导致了投机行为的盛行和稳定币价格的极度不稳定。从这个角度来看,APML并不是一个成功的算法稳定币项目。在算法与人性的博弈中,算法已完全成为人性的奴隶,成为投机者获取市场的工具,但其开拓意义仍值得肯定。
第二代稳定币算法——基差现金
与第一代算法稳定币相比,只有一种货币。为了提高系统的稳定性,第二代算法稳定币以基差现金和ESD为代表,增加了系统的丰富性。
以基本现金为例,该算法主要有三个功能:基本现金、基本债券和基本股票。根据官方宣传,这三种代币分别对应美元、债券和股票。稳定机制如下
当BAC价格低于1美元时,用户可以使用BAC低价购买债券bab(bab价格=BAC价格的平方),从而减少BAC的流通量,提高BAC的价格

当BAC价格高于1美元时,用户可以将BAC换成BAC;如果回购BAB后需要增发BAC,则将增发的BAC作为红利分配给bas持有人;通过上述方式,增加BAC的发行量,降低BAC价格。
在货币发行方面,有三个流动性池是按基差现金设计的
首先是稳定币池。在项目开始时,用户可以将Dai(MCD)、ycrv、USDT、SUSD和USDC存入相关合同池,以获得新的BAC作为收入。目前,游泳池已关闭;
第二个是基本共享1池。用户需要向Uniswap v2的dai bac池提供流动资金。获得LP代币后,他们可以将其存入1个池中,以享受bas收入。根据设计,1号池共分配75万个bas;
**,还有基础共享2池。用户将向Uniswap v2的dai bas池提供流动资金。获得LP代币后,他们可以将其存入2个池中,以享受bas收入。根据设计,1号池共分配250000个bas;
从以上可以看出,基差现金的稳定币设计机制模拟了央行的公开市场操作:当市场资金过剩时,央行卖出债券,从市场上取款;当市场资金稀缺时,央行买入债券,向市场投放资金。这正是基本法官员一直倡导的——建立一个“去中心化的联邦储备系统”。

但事实上,美国银行上市后股价波动剧烈,并没有表现出稳定的特征。目前,美国银行的价格已经跌破了0.6美元的门槛——也就是说,有40%的负溢价,但价格仍然没有上升的趋势。为什么所谓的“去中心化美联储”基本法最终没有实现稳定的价格控制?因为基础现金只学到了现代央行的外表和皮毛,却没有学到本质。这体现在基差债券的定性分析和货币政策工具的设计上。
(1) 什么是基差债券?
根据官方声明,由基差现金发行的基差债券是一种债券。事实上,bab不是一种纽带,而是一种永恒的召唤。
关键是要明白,债券是向债权人发行的,并承诺在特定日期偿还本息,这与标的物的价格无关——即使未来美国银行的价格低于1美元,也不会影响债务的偿还。因此,当央行在市场上发行央行票据时,一些投资者愿意买入,并成功地将资金撤出市场。
那么,什么是基差债券(bab)是一个上行电话?因为只有当标的资产BAC的价格上升到1美元时,系统才允许投资者行使购买BAC的权利,其中回报=当前BAC价格–购买bab时BAC价格的平方。例如,当BAC为0.9美元时,投资者将以0.81美元的价格购买bab;当BAC价格升至1.5美元时,将触发期权有效条件。如果投资者此时行权并获得美国银行,回报率将为1.5-0.81=0.69美元;如果美国银行的价格总是低于1美元,他将无法为投资者启动基差,基差债券就是一张“废纸”。
可以说,基差债券的奇异期权性质导致了基差“公开市场操作”的失败。当投资者购买基差债券时,他们的信心不是建立在债券到期时还本付息的基础上,而是建立在美国银行价格未来回到1美元以上的基础上。他们押注的是市场对美国银行的信心和美国银行的未来。
这就好比BTC价格下跌时,一些有订单的分析师告诉投资者,他们必须利用杠杆效应大量买入BTC。其逻辑是:只要买了BTC,就会减少BTC的发行量,然后再提高BTC的价格,这样就能获得很大的利润。有多少投资者愿意支付?我相信市场已经给出了答案。
(2) 基差现金是合格的“去中心化美联储”吗?
真正的公开市场操作要求央行既要有释放流动性的工具,又要有回收流动性的工具。从公开市场操作品种来看,目前公开市场操作业务主要包括回购交易、现金债券交易和央行票据,具体业务如下:

虽然基差现金被称为“去中心化的中央银行”,但它只是模仿中央银行票据的工具,只有发行基差债券才能回收流动性。然而,面对市场流动性短缺(BACgt;1美元),它没有足够的工具向市场注入流动性。因此,它必须回到ampl的老路上去:通过直接控制稳定币的供应来注入流动性。
虽然基础现金存在着种种不足,但与ampl相比仍有很大的进步,特别是在抑制稳定币增发冲动方面。对于ampl,由于采用单一货币制,ampl持有人可以从发行稳定币中获得红利,这导致投机盛行;而对于多货币基差现金,在发行稳定币时,稳定币持有人会先回购基差现金,然后再进行分配它向持有基差股份的人;另一方面,持有稳定币的人将回购基差现金继续增发股份。这两个因素共同作用,抑制投机资金对基差现金的过度冲击。
第三代算法稳定币——FraX
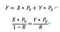
在当前市场上,半抵押算法稳定币的代表是FraX。与第一代和第二代算法稳定币不同,FraX的铸造和销毁基于两种财富——传统稳定币USDC和系统金融“FXS”,即

其中,f为新投远期外汇的数量,X为远期外汇的数量,即远期外汇的美元价格,y为传统稳定币USDC的数量,即USDC的美元价格,R为抵押利率
抵押率R根据系统算法进行调整:运营初期,FraX的抵押率为*,每小时调整一次(根据区块数)。在第一个小时内,需要一种1美元的传统稳定币作为发行远期利率协议的抵押品。每一小时后:
如果pusdgt;1美元,在本次调整中,抵押贷款利率将降低0.25%。
如果pusdlt;1美元,本次调整的抵押贷款利率将增加0.25%。
为了保证实际抵押贷款利率与算法设定的抵押贷款利率相等,FraX还设计了“回购和再融资机制”。首先是再抵押机制。当算法增加系统抵押贷款利率时,为了使实际抵押贷款利率与系统抵押贷款利率相等,必须增加系统中USDC的数量。FraX设置了一个激励措施:任何人都可以向系统中添加USDC,并兑换更多的FXS;例如,用户可以向系统中添加价值1美元的USDC,并兑换价值1.2美元的FS。“回购机制”是指当系统的抵押利率降低时,用户可以随时向系统中兑换价值相同的USDC和FXS,因此,回购机制中没有激励措施。
“回购”和“再融资”机制的存在,保证了用户可以根据算法给出的抵押利率随时投回或赎回稳定币远期利率,从而避免了USDC抵押品不足的现象。此时,套利机制保证了远期外汇价格的稳定
当1 FraXlt;1美元时,套利者将购买FraX,用FraX赎回USDC和FXS,并通过出售FXS获利。对FraX的购买需求将提高FraX的价格。
当1美元远期利率高于1美元时,套利者将通过usdac和FXS投放远期利率,并卖出远期利率以获利。抛售压力将导致远期外汇价格下跌。

从上面可以看出,尽管FraX声称是一种“半抵押”算法稳定币,但它实际上是一种“完全抵押”算法稳定币——用户可以随时将1 FraX兑换成USDC和价值1美元的frx。该算法只控制系统的抵押率和FXS的增发率,因此FraX的价格非常稳定。
当然,FraX的问题是FXS没有任何价值。套利者可以随时将1美元的远期外汇兑换成1美元的美元和外汇,这意味着该系统将稳定币的价格波动风险完全转移给外汇持有者。毕竟,1美元的FXS可以是“价格为0.01美元的100 FXS”或“价格为0.001美元的1000 FXS”。

更重要的是,第一代和第二代算法稳定币的市场扩张依赖于投机,而FraX消除了投机攻击的可能性,这意味着FraX的市场增长缓慢。如下图所示,自今年推出以来,FraX的发行量一直没有超过2600万。因此,FraX需要建立自己的“债务市场”或其他未来能够创造财富的市场,以实现FraX规模的快速扩张。
算法稳定的未来
在现代经济中,货币供应主要有两种渠道
一是货币供应机构通过购买货币储备或价值锚(如黄金、外汇等)进行货币投资,以确定货币的单位价值,增强货币的公信力。
二是货币供应机构通过向社会主体发放贷款或购买其债券等方式发放的货币。贷款和债券都代表了未来的财富,脱离了当前实际财富的限制。根据货币供应量,可以保证货币的及时供应和货币总量与财富规模的基本对应,从而保证金币价值的稳定。
以中国为例,2000-2014年,人民币发行主要以外汇为主。原因是在这期间,中国的出口增长迅速。为了稳定人民币汇率,央行不得不大量购买美元等外汇资产,然后大量投放人民币,也就是说,014年以后人民币的发行是以美元等外汇资产为基础的,我国外汇占款开始逐年下降。此时,人民币发行已演变为以国内银行体系负债增加为主,即人民币发行以债务为基础。

同样,第一代稳定币,如USDT和USDC,都是这样的:每发行一种稳定币的背后,都有一种真正的法定货币1美元作为储备(尽管有些不合规的稳定币是油腻的),以保持稳定币的信心,确保稳定币价格的稳定。
各种算法稳定币出现“市场规模价格稳定”悖论的根本原因是算法稳定币没有按照当前或未来的财富规模投放,容易引发投机,实现稳定币规模的扩大。其后果是货币价值的极度不稳定和项目的不可持续性。
同样,当前市场也存在一个谬误:算法稳定币市场的扩张必须依靠投机,因此可以牺牲算法稳定币价格的不稳定性。货币规模的扩大取决于社会财富的增长。投机带来的财富是暂时的,因为它不创造财富,而是利用市场规律转移财富,所以当投机资金撤出时,项目也会下降。
目前的算法普遍缺乏一个能够创造财富的市场。因此,算法稳定币要想在未来获得成功,必须建立一个算法稳定币的“债务市场”或“财富创造市场”,可以是贷款协议、保险协议或其他在DeFi领域具有实际应用价值的协议。根据当前和未来的财富规模,采用该算法进行稳定币的投放和提取。这不仅可以解决“市场规模价格稳定”的悖论,而且可以为算法稳定币创造足够的“政策工具”来维持价格稳定。
文章链接:https://www.btchangqing.cn/184302.html
更新时间:2021年01月24日
本站大部分内容均收集于网络,若内容若侵犯到您的权益,请联系我们,我们将第一时间处理。